• Предмет: Математика
  • Автор: mar1ymaСbеtа
  • Вопрос задан 10 лет назад

Решите заданное уравнение: 6х2 - 7 = 18 - х2

Ответы

Ответ дал: milanya20041
0
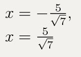
6x^2 - 7= 18 - x^2
6x^2+x^2 = 18+77x^2 = 25x^2=257 ;
x= + -sqrt 257
Приложения:
Вас заинтересует