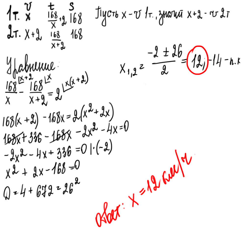
срочно от пристани А к пристани В отправился с постоянной скоростью первый теплоход, а через 2 часа после этого следом за ним со скоростью на 2 км/ч большей отправился второй. Расстояние между пристанями равно 168 км. Найдите скорость первого теплохода, если в пункт В оба теплохода прибыли одновременно. Ответ дайте в км/ч.
Ответы
Ответ дал:
0
Все сводится к тому, что первый теплоход проплыл больше часов , чем второй. Из этого и вытекает разница во времени.
Приложения:
Вас заинтересует
3 года назад
3 года назад
8 лет назад
8 лет назад
11 лет назад
11 лет назад
11 лет назад