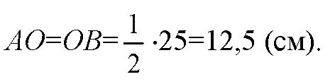
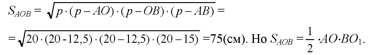
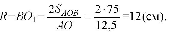
Диаметр шара 25 см. На его поверхности даны точка А и окружность, все точки которой удалены( по прямой) от А на 15 см. Найдите радиус этой окружности
Ответы
Ответ дал:
0
Во вложениях:)))))))))))))))
Приложения:




Вас заинтересует
2 года назад
2 года назад
8 лет назад
8 лет назад
10 лет назад
10 лет назад