Даю 35 баллов за правильный ответ! Кто сделает, дам лучший ответ, и 2 лайка на профиль и ответ ваш. Помогите пожалуйста, ребята.
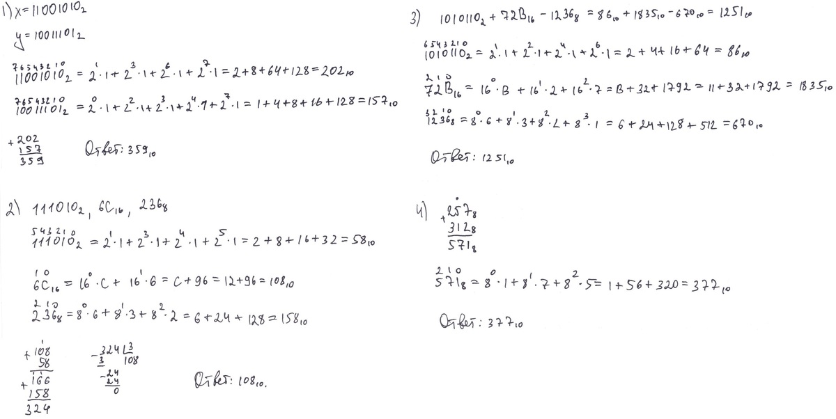
1) Вычислите сумму чисел X и Y, если X=11001010 2, Y=10011101 2. Результат представьте в десятичном виде.
2) Найдите среднее арифметическое чисел 111010 2, 6С 16, 236 8. Ответ представьте в десятичной системе счисления.
3) Вычислите значения выражения 1010110 2+ 72В 16 - 1236 8. Результат представьте в десятичном виде.
4) Вычислите сумму чисел А и В, если А=257 8, В=312 8. Вычисления производите в восьмеричной системе счисления. Ответ переведите в десятичную систему счисления.
Приложения:
Ответы
Ответ дал:
0
Решение на фото.....
Приложения:
Ответ дал:
0
Дай бог вам здоровья.
Ответ дал:
0
1) 11001010 в 2 + 10011101 в 2 = 101100111 в 2
Переводим ответ в десятичную: 101100111 в 2 = 1∙2^8+0∙2^7+1∙2^6+1∙2^5+0∙2^4+0∙2^3+1∙2^2+1∙2^1+1∙2^0 = 256+0+64+32+0+0+4+2+1 = 359 в 10.
Ответ: 359 в десятичной.
2) Чтобы найти среднее арифметическое находим сумму всех чисел и делим ее на их количество.
Для начала переведем все числа в десятичную систему.
111010 в 2 = 1∙2^5+1∙2^4+1∙2^3+0∙2^2+1∙2^1+0∙2^0 = 32+16+8+0+2+0 = 58 в 10;
6C в 16 = 6∙16^1+1^2∙16^0 = 96+12 = 108 в 10;
236 в 8 = 2∙8^2+3∙8^1+6∙8^0 = 128+24+6 = 158 в 10;
Теперь складываем: 58 в 10 + 108 в 10 + 158 в 10 = 324 в 10.
Теперь делим: 324 в 10 : 3 в 10 = 108 в 10.
Ответ: 108 в десятичной системе счисления.
3) Для начала Переводим все числа в десятичную систему:
1010110 в 2 = 1∙2^6+0∙2^5+1∙2^4+0∙2^3+1∙2^2+1∙2^1+0∙2^0 = 64+0+16+0+4+2+0 = 86 в 10;
72B в 16 = 7∙16^2+2∙16^1+11∙16^0 = 1792+32+11 = 1835 в 10;
1236 в 8 = 1∙8^3+2∙8^2+3∙8^1+6∙8^0 = 512+128+24+6 = 670 в 10;
Решаем: 86 в 10 + 1835 в 10 - 670 в 10 = 1251 в 10.
Ответ: 1 251 в десятичной системе счисления.
4) Складываем: 257 в 8 + 312 в 8 = 571 в 8.
Переводим ответ в десятичную:
571 в 8 = 5∙8^2+7∙8^1+1∙8^0 = 320+56+1 = 377 в 10.
Ответ: 377 в десятичной системе счисления.
Приложения:
Вас заинтересует
3 года назад
10 лет назад
10 лет назад