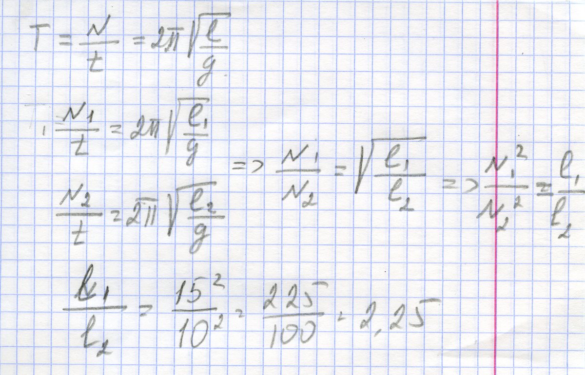
два маятника начинают одновременно совершать колебания.За время первых 15 колебаний первого маятника второй совершил только 10 колебаний .Определите отношение длин маятников
Ответы
Ответ дал:
0
Нужно рассмотреть период колебаний маятников через длину подвеса и число колебаний, решение в файле
Приложения:
Вас заинтересует
2 года назад
2 года назад
8 лет назад
8 лет назад
10 лет назад
10 лет назад
10 лет назад