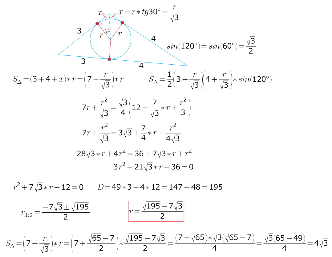
Окружность, вписанная в треугольник, точкой касания делит одну из сторон на отрезки, равные 3 и 4, а противолежащий этой стороне угол равен 120. Найдите площадь треугольника.
Ответы
Ответ дал:
0
площадь треугольника можно вычислить как:
произведение полу-периметра на радиус вписанной окружности
или
половину произведения двух сторон на синус угла между ними))
отрезки касательных, проведенных из одной точки (из вершины треугольника)) равны...
центр вписанной окружности лежит на пересечении биссектрис углов))
радиус в точку касания перпендикулярен касательной...
приравняв две формулы для площади, можно найти радиус...
произведение полу-периметра на радиус вписанной окружности
или
половину произведения двух сторон на синус угла между ними))
отрезки касательных, проведенных из одной точки (из вершины треугольника)) равны...
центр вписанной окружности лежит на пересечении биссектрис углов))
радиус в точку касания перпендикулярен касательной...
приравняв две формулы для площади, можно найти радиус...
Приложения:

Вас заинтересует
2 года назад
2 года назад
7 лет назад
7 лет назад
10 лет назад
10 лет назад
10 лет назад