• Предмет: Математика
  • Автор: AlinaBobr13
  • Вопрос задан 10 лет назад

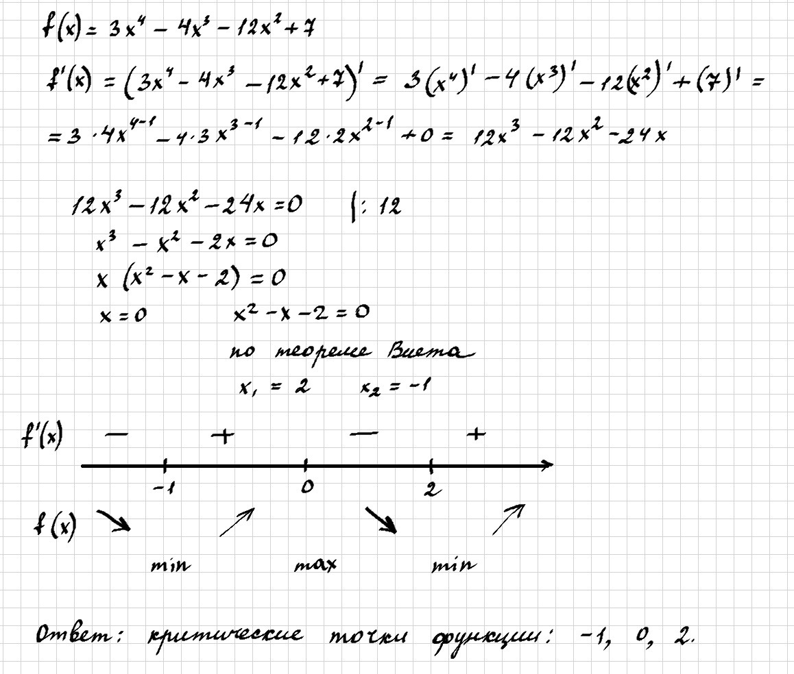
f(x)=3x^4-4x^3-12x^2+7 найдите критические точки функций

Ответы

Ответ дал: UluanaV
0

Решение в прикрепленном файле.

Приложения:
Вас заинтересует