• Предмет: Алгебра
  • Автор: IRINA7856
  • Вопрос задан 11 лет назад

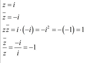
Помогите пожалуйста.Комплексные числа. Для комплексного числа z  найдите сопряженное число  z и вычислите

произведение z*z(сопряженное)  и частное z(сопряженное) / z

 

z=i

 

 

 

Ответы

Ответ дал: Аноним
0

см.влож

==================================

 

Приложения:
Вас заинтересует