• Предмет: Алгебра
  • Автор: makeu11
  • Вопрос задан 11 лет назад

Решите тождество)

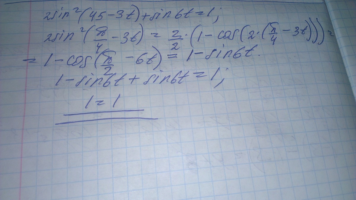
2sin^2(45°-3t)+sin6t=1

Ответы

Ответ дал: IZUBR
0

Для начала переводишь 45 градусов как pi/4. Далее - применяешь формулу понижения степени у синуса, получаем: 1-cos(pi/2-6t). Видим - формулу приведения, преобразуем, получаем: 1-sin6t. Далее, обычная арифметика.

Приложения:
Вас заинтересует