• Предмет: Алгебра
  • Автор: DOCTORjon
  • Вопрос задан 10 лет назад

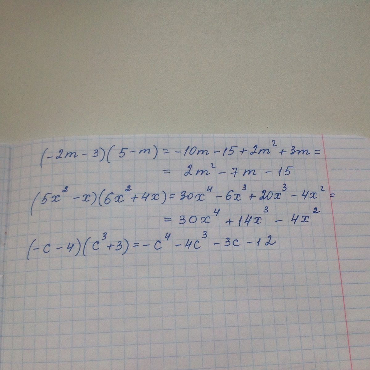
ПОМОГИТЕ СРОЧНО ПОЖАЛУЙСТА выполните умножение:
(-2m - 3)*(5 - m)
(5x^2 - x)*(6x^2 + 4x)
(-c - 4)*(c^3 + 3)

Ответы

Ответ дал: ВладимирБ
0
Решение смотри в приложении
Приложения:
Вас заинтересует