• Предмет: Алгебра
  • Автор: DomnikaMaksimova
  • Вопрос задан 10 лет назад

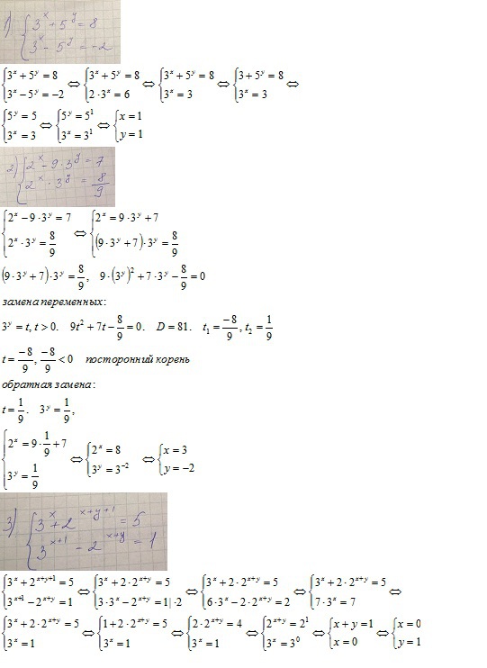
ДАЮ 100 БАЛЛОВ ! РЕШИТЕ СИСТЕМЫ УРАВНЕНИЙ (ПОДРОБНОЕ РЕШЕНИЕ)

Приложения:

Ответы

Ответ дал: kirichekov
0
решение во вложении или на фото
Приложения:
Вас заинтересует