Ответы
Ответ дал:
0
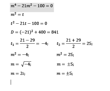
Надеюсь это то что нужно) Если что не так обращайся!
Приложения:

Ответ дал:
0
Спасибо
Вас заинтересует
2 года назад
2 года назад
10 лет назад
10 лет назад
10 лет назад
10 лет назад