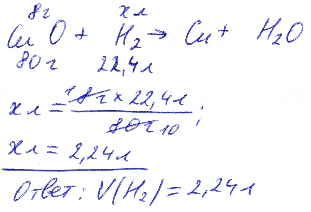
Какой обьём водорода при н.у. потребуется для восстановления меди из оксида меди (II) массой 8 г?
Ответы
Ответ дал:
1
Ответ на "Какой обьём водорода при н.у. потребуется для восстановления меди из оксида меди (II) массой 8 г?":
Приложения:

Вас заинтересует
1 год назад
1 год назад
2 года назад
2 года назад
7 лет назад