Ответы
Ответ дал:
0
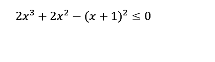
2x²(x+1)-(x+1)²≤0
(x+1)(2x²-x-1)≤0
x+1=0⇒x=-1
2x²-x-1=0
D=1+8=9
x1=(1-3)/4=-0,5
x2=(1+3)/4=1
_ + _ +
----------[-1]---------[-0,5]----------[1]------------
x∈(-∞;-1] U [-0,5;1]
(x+1)(2x²-x-1)≤0
x+1=0⇒x=-1
2x²-x-1=0
D=1+8=9
x1=(1-3)/4=-0,5
x2=(1+3)/4=1
_ + _ +
----------[-1]---------[-0,5]----------[1]------------
x∈(-∞;-1] U [-0,5;1]
Вас заинтересует
3 года назад
3 года назад
8 лет назад
8 лет назад
10 лет назад
10 лет назад
11 лет назад