Ответы
Ответ дал:
0
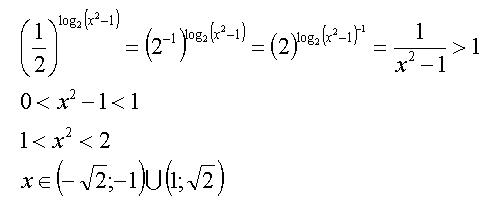
(1/2)^log2 (x^2-1)>1
1/2^log2 (x2-1)>1
ОДЗ x^2-1>0
========-1========1=========
++++++++ ----------- +++++++++
1/(x^2-1)-1>0
(1-x^2+1)/(x2-1)>0
(2-x^2)/(x2-1)>0

=======-корень(2)=====-1========1======корень(2)=========
----------------- ++++++++ ------------- ++++++++ -------------------
x=(-корень(2) -1)U(1 корень(2))
1/2^log2 (x2-1)>1
ОДЗ x^2-1>0
========-1========1=========
++++++++ ----------- +++++++++
1/(x^2-1)-1>0
(1-x^2+1)/(x2-1)>0
(2-x^2)/(x2-1)>0
=======-корень(2)=====-1========1======корень(2)=========
----------------- ++++++++ ------------- ++++++++ -------------------
x=(-корень(2) -1)U(1 корень(2))
Ответ дал:
0
решение смотри во вложении
Приложения:

Вас заинтересует
2 года назад
2 года назад
8 лет назад
10 лет назад