Ответы
Ответ дал:
0
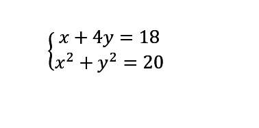
x+4y=18⇒x=18-4y
x²+y²=20
324-144y+16y²+y²-20=0
17y²-144y+304=0
D=20736-20672=64
y1=(144-8)/34=4⇒x1=18-16=2
y2=(144+8)/34=4 8/17⇒x2=18-17 15/17=2/17
(2;4);(2/17;4 8/17)
x²+y²=20
324-144y+16y²+y²-20=0
17y²-144y+304=0
D=20736-20672=64
y1=(144-8)/34=4⇒x1=18-16=2
y2=(144+8)/34=4 8/17⇒x2=18-17 15/17=2/17
(2;4);(2/17;4 8/17)
Вас заинтересует
2 года назад
2 года назад
8 лет назад
8 лет назад
10 лет назад
10 лет назад
10 лет назад