• Предмет: Алгебра
  • Автор: Amriana
  • Вопрос задан 10 лет назад

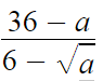
помогите решить задание
"/" это- дробная черта
"*" это- умножение

Приложения:

Ответы

Ответ дал: Palestina
0
Ответ будет: 2,668...
Вас заинтересует