• Предмет: Математика
  • Автор: Никита1190
  • Вопрос задан 10 лет назад

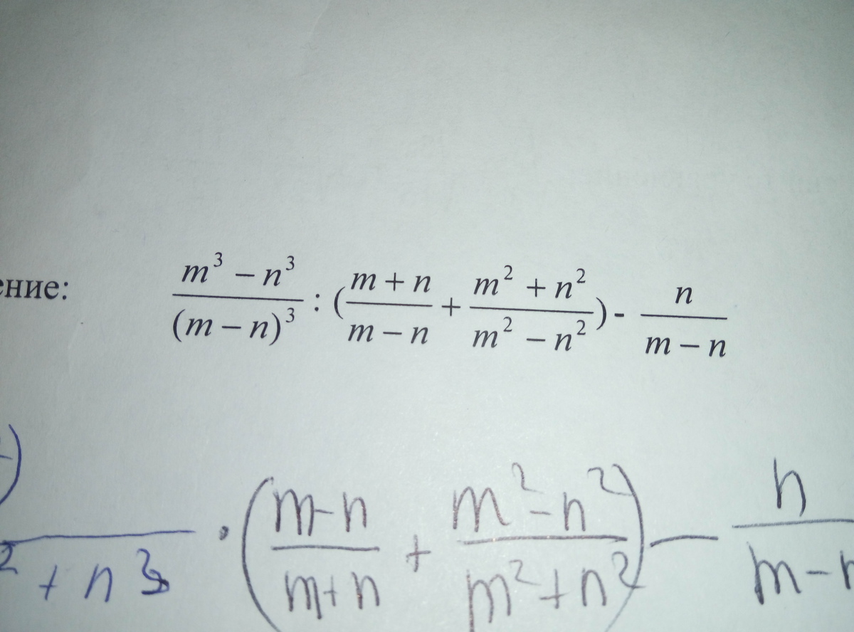
пожалуйста, помогите мне. я даже не представляю, как это решать.

Приложения:

Ответы

Ответ дал: Amkka
0
1. frac{ m^{2} + n^{2} + m^{2} + n^{2} }{ m^{2} - n^{2} } = frac{2 m^{2} + 2 n^{2} }{ m^{2} - n^{2} } [/tex]

Это то, что получилось, когда мы складывали скобки. Теперь мы это число делим.

2.  frac{ (m-n) ^{3} * 2 m^{2} + 2n^{2}   }{ m^{3} -  n^{3} *  m^{2} -  n^{2} }
Вас заинтересует