Ответы
Ответ дал:
0
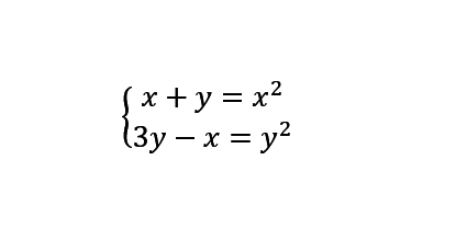
y=x²-x
3x²-3x-x=(x²-x)²
x(3x-4)-x²(x-1)²=0
x(3x-1-x³+2x²-x)=0
x1=0⇒y1=0
x³-2x²-2x+1=0
x²(x+1)-3x(x_1)+(x+1)=0
(x+1)(x²-3x+1=0
x2=-1⇒y2=2
x²-3x+1=0
D=9-4=5
x3=(3-√5)/2⇒y3=2-√5
x4=(3+√5)/2⇒y4=2+2√5
3x²-3x-x=(x²-x)²
x(3x-4)-x²(x-1)²=0
x(3x-1-x³+2x²-x)=0
x1=0⇒y1=0
x³-2x²-2x+1=0
x²(x+1)-3x(x_1)+(x+1)=0
(x+1)(x²-3x+1=0
x2=-1⇒y2=2
x²-3x+1=0
D=9-4=5
x3=(3-√5)/2⇒y3=2-√5
x4=(3+√5)/2⇒y4=2+2√5
Вас заинтересует
3 года назад
8 лет назад
8 лет назад
10 лет назад
11 лет назад