Ответы
Ответ дал:
0
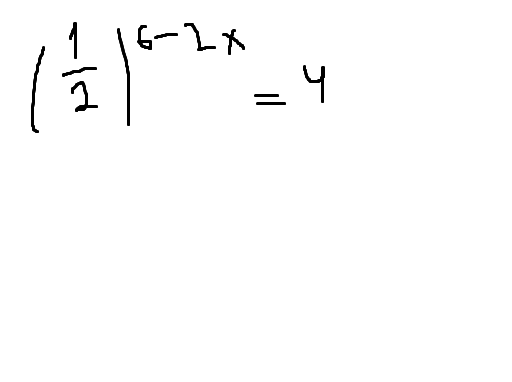
1/2^-2x+6 = 4
1=2^-2x+6 *4
1= 4*2^-2x+6
2^-2x+6 = 1/4
-2x+6 = log2 1/4
-2x+6=-2
-x+3=-1
x=4
1=2^-2x+6 *4
1= 4*2^-2x+6
2^-2x+6 = 1/4
-2x+6 = log2 1/4
-2x+6=-2
-x+3=-1
x=4
Ответ дал:
0
Вы логарифмы проходил? Если да то блин, Log (2 маленькая внизу) и рядом на уровне Log дробь 1/4
Ответ дал:
0
но я понял как записать спасибо
Вас заинтересует
2 года назад
2 года назад
8 лет назад
8 лет назад
10 лет назад