• Предмет: Математика
  • Автор: Victori2012
  • Вопрос задан 10 лет назад

Помогите пожалуйста,не могу вспомнить как решать

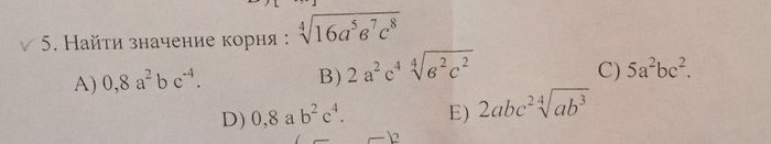
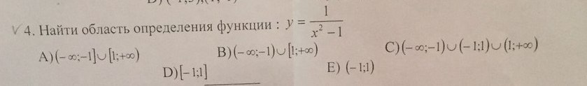
Приложения:

Ответа на этот вопрос пока нет. Попробуйте найти его через форму поиска.

Вас заинтересует