• Предмет: Алгебра
  • Автор: maksuddzhalilo
  • Вопрос задан 10 лет назад

Прологарифмируйте выражение:

- по основанию 2: х =

- по основанию 10:

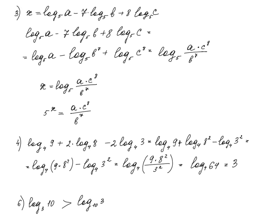
3. Пропотенцируйте выражение:

х = log5a - 7 log5b + 8 log5c

4. Вычислите:

log49 + 2 log48 – 2 log43; log6 - log6 ; log3cos - log3sin ; 21 + log25

5. Известно, что и . Выразите через а и b:

6. Сравните: log310 и log103.

Ответы

Ответ дал: UluanaV
0
Решение некоторых заданий в прикрепленном файле.
Приложения:
Вас заинтересует