Ответы
                                            Ответ дал: 
                                                                                    
                                        
                                            
                                                
                                                
                                                
                                                    0
                                                
                                            
                                        
                                    
                                        решения в приложении к ответу
                                    
                                                Приложения:
                     
                            
                                            Ответ дал: 
                                                                                    
                                        
                                            
                                                
                                                
                                                
                                                    0
                                                
                                            
                                        
                                    
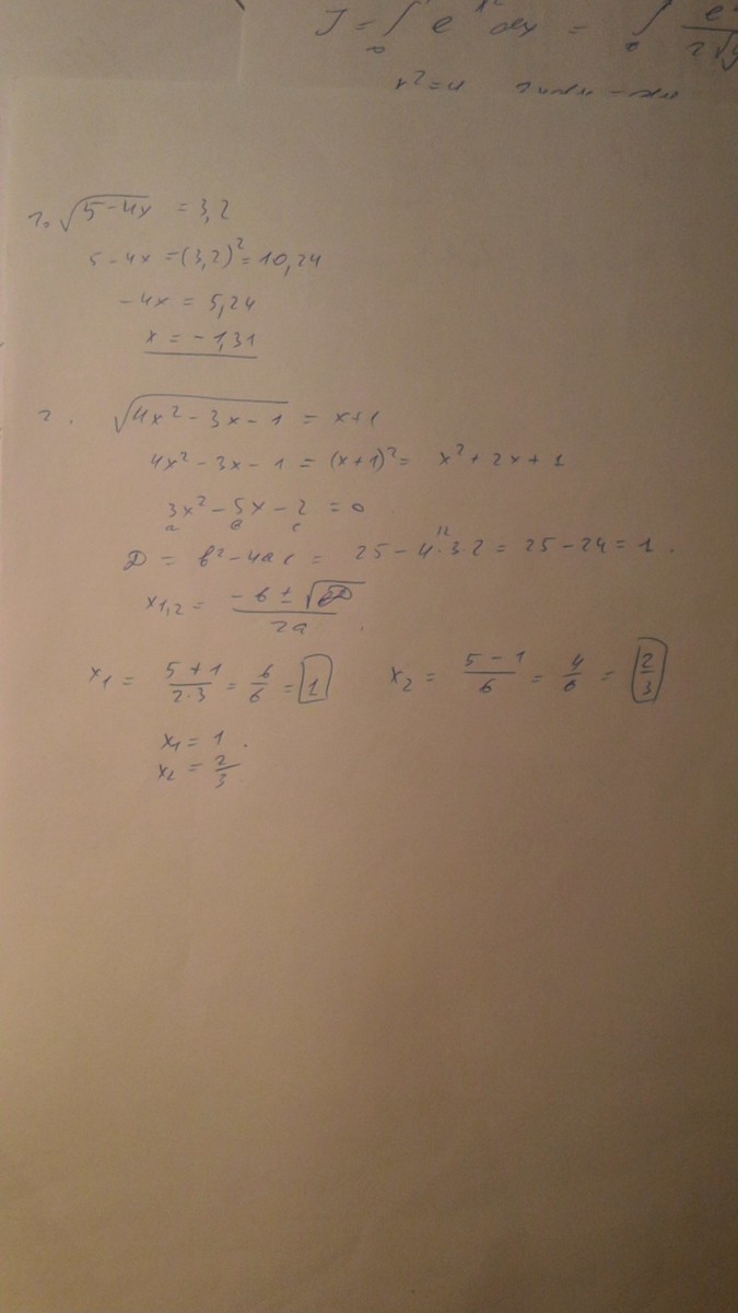
                                        1) ![sqrt{5-4x}=3.2 
Возводим обе части в квадрат, получится: <br />5-4x=10.24<br />-4x=10.24-5<br />4x=-5.24<br />x=-5.24/4<br />x=-1.31<br /><br />2) [tex] sqrt{ 4x^{2}-3x-1 }=x+1
  sqrt{5-4x}=3.2 
Возводим обе части в квадрат, получится: <br />5-4x=10.24<br />-4x=10.24-5<br />4x=-5.24<br />x=-5.24/4<br />x=-1.31<br /><br />2) [tex] sqrt{ 4x^{2}-3x-1 }=x+1](https://tex.z-dn.net/?f=+sqrt%7B5-4x%7D%3D3.2+%0A%D0%92%D0%BE%D0%B7%D0%B2%D0%BE%D0%B4%D0%B8%D0%BC+%D0%BE%D0%B1%D0%B5+%D1%87%D0%B0%D1%81%D1%82%D0%B8+%D0%B2+%D0%BA%D0%B2%D0%B0%D0%B4%D1%80%D0%B0%D1%82%2C+%D0%BF%D0%BE%D0%BB%D1%83%D1%87%D0%B8%D1%82%D1%81%D1%8F%3A%C2%A0%26lt%3Bbr+%2F%26gt%3B5-4x%3D10.24%26lt%3Bbr+%2F%26gt%3B-4x%3D10.24-5%26lt%3Bbr+%2F%26gt%3B4x%3D-5.24%26lt%3Bbr+%2F%26gt%3Bx%3D-5.24%2F4%26lt%3Bbr+%2F%26gt%3Bx%3D-1.31%26lt%3Bbr+%2F%26gt%3B%26lt%3Bbr+%2F%26gt%3B2%29%C2%A0%5Btex%5D+sqrt%7B+4x%5E%7B2%7D-3x-1+%7D%3Dx%2B1%0A)
Так же возведем в квадрат:
4х²-3х-1=(x+1)² ( раскроем по формуле (a+b)²=a²+2ab+b² )
4x²-3x-1=x²+2x+1
4x²-3x-1-x²-2x-1=0
3x²-5x-2=0 найдем дискриминант D
D=b²-4ac=5²-4·3·(-2)=25+24=49=7²
x1=(-b-√d)/2a=(5-7)/6=-1/3
x2=(-b+√d)/2a=(5+7)/6=2
                                    
                                                Так же возведем в квадрат:
4х²-3х-1=(x+1)² ( раскроем по формуле (a+b)²=a²+2ab+b² )
4x²-3x-1=x²+2x+1
4x²-3x-1-x²-2x-1=0
3x²-5x-2=0 найдем дискриминант D
D=b²-4ac=5²-4·3·(-2)=25+24=49=7²
x1=(-b-√d)/2a=(5-7)/6=-1/3
x2=(-b+√d)/2a=(5+7)/6=2
Приложения:
                     
                            Вас заинтересует
                
                        2 года назад
                    
                
                        2 года назад
                    
                
                        7 лет назад
                    
                
                        10 лет назад
                    
                
                        10 лет назад
                    
                
                        10 лет назад
                    
                