• Предмет: Алгебра
  • Автор: merkidanova
  • Вопрос задан 10 лет назад

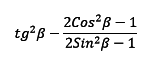
Срочно!! Надо Упростить

Приложения:

Ответа на этот вопрос пока нет. Попробуйте найти его через форму поиска.

Вас заинтересует