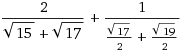
((2/(корень из 19 + корень из 17)) + (2/(корень из 17 + корень из 15)) + корень из 15) * корень из 19
Ответы
Ответ дал:
0
Ответ 19. У меня получилось так... думаю верный ответ...
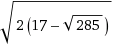
В картинках показано как я преобразовывал дроби. Где получилось: корень из 19 - корень из 15, так как там стоит после этого + корень из 15, то остаётся корень из 19, а (корень из x)^2=x, то есть: (корень из 19)^2=19.
В картинках показано как я преобразовывал дроби. Где получилось: корень из 19 - корень из 15, так как там стоит после этого + корень из 15, то остаётся корень из 19, а (корень из x)^2=x, то есть: (корень из 19)^2=19.
Приложения:





Ответ дал:
0
Извините, а где решение? Нужно найти значение выражения. Ответ должен получится 19. Но я не вижу ход решения
Ответ дал:
0
И всё же как решаются такие примеры?
Ответ дал:
0
Добавил кое-что
Ответ дал:
0
Спасибо большое, теперь всё понятно. В дальнейшем буду уже знать, как решать такие примеры.
Вас заинтересует
2 года назад
2 года назад
10 лет назад
10 лет назад