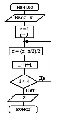
Дана блок-схема. Какое значение будет иметь z на выходе, если x=45? (При решении и в ответе округляй до десятых)
Пожалуйста, помогите
Приложения:
Ответа на этот вопрос пока нет. Попробуйте найти его через форму поиска.
Вас заинтересует
3 года назад
3 года назад
8 лет назад
10 лет назад
10 лет назад