• Предмет: Алгебра
  • Автор: rusyasaitov
  • Вопрос задан 10 лет назад

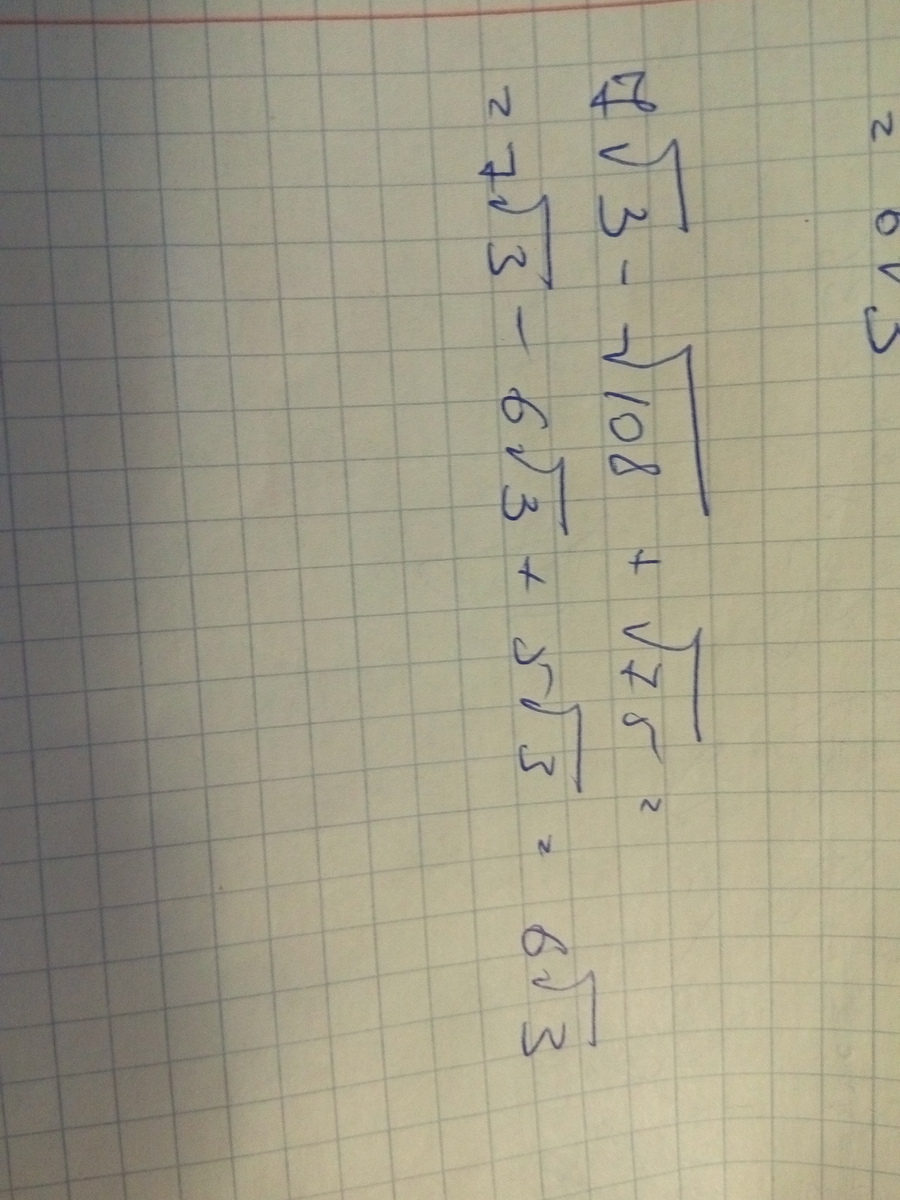
7 корня из 3 минус корень из 108 плюс корень из 75

Ответы

Ответ дал: nafanya2014
0
√108=√(4·27)=√4·√27=2·3√3=6√3
√75=√(3·25)=5√3

7√3-√108+√75=7√3-6√3+5√3=6√3
Ответ дал: rusyasaitov
0
я уже только сам рештл 
Ответ дал: rusyasaitov
0
решил ну спасиб всё равно
Ответ дал: nafanya2014
0
это хорошо, что сам. Проверил, что решил верно
Ответ дал: rusyasaitov
0
))
Ответ дал: n070399
0
волжение*****************************
Приложения:
Ответ дал: rusyasaitov
0
тоже верно
Вас заинтересует