• Предмет: Алгебра
  • Автор: Аноним
  • Вопрос задан 10 лет назад

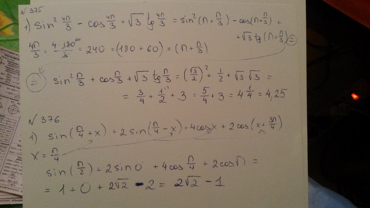
375-376 пж срочно завтра будут проверять

Приложения:

Ответы

Ответ дал: nakayori
0
Сделала вам по одному примеру. Остальные по аналогии. Везда надо подставить значение вместо икс и в 375 воспользоваться формулами приведения. После этого посмотреть значения по таблице.
Приложения:
Ответ дал: Аноним
0
мне решение надо
Вас заинтересует