• Предмет: Алгебра
  • Автор: nikusik9913
  • Вопрос задан 10 лет назад

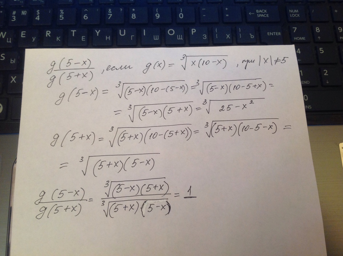
Помогите решить задание из открытого банка заданий ЕГЭ

Приложения:

Ответы

Ответ дал: ВладимирБ
0
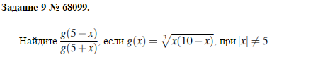
Решение смотри в приложении
Приложения:
Ответ дал: nikusik9913
0
спасибо огромное!
Вас заинтересует