• Предмет: Алгебра
  • Автор: evilllllllllll
  • Вопрос задан 11 лет назад

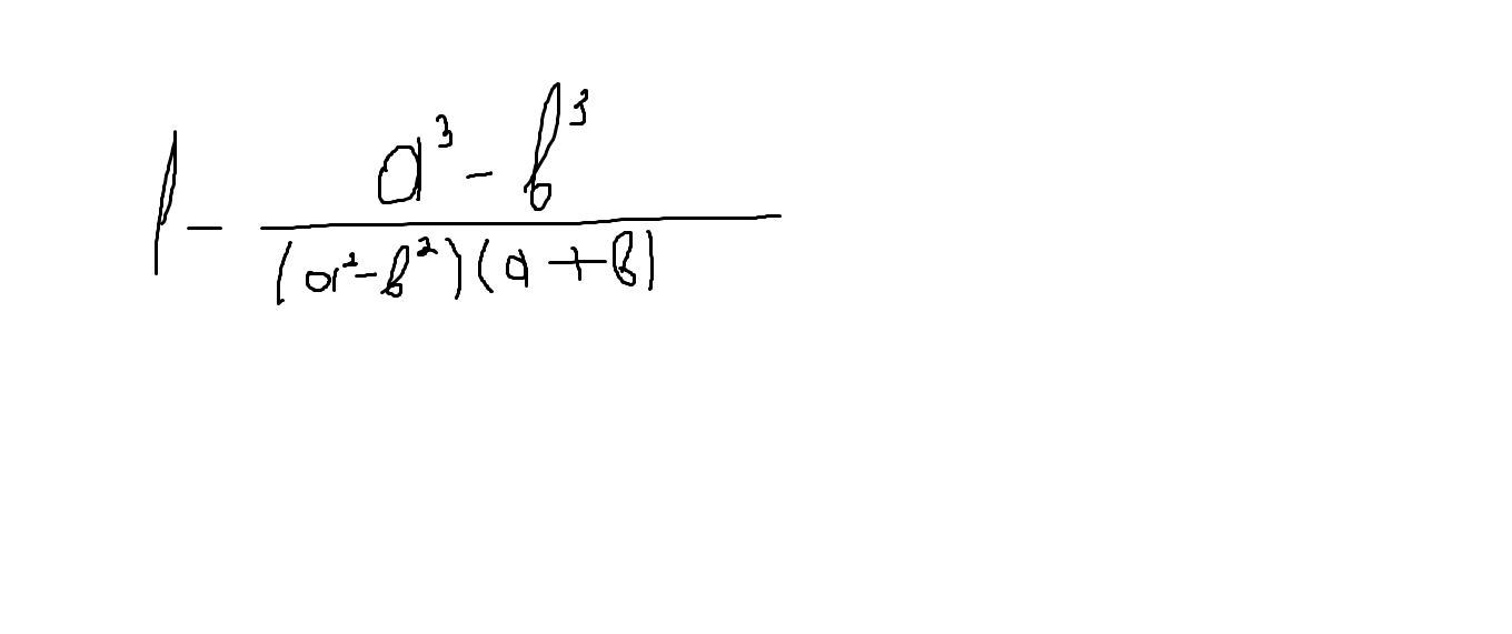
помогите упростить выражение 

Приложения:

Ответы

Ответ дал: Yena
0

1-frac{a^3-b^3}{(a^2-b^2)(a+b)}=1-frac{(a-b)(a^2+ab+b^2)}{(a-b)(a+b)(a+b)}=1-frac{a^2+ab+b^2}{(a+b)^2}= 

=frac{(a+b)^2-(a^2+ab+b^2)}{(a+b)^2}=frac{a^2+2ab+b^2-a^2-ab-b^2}{(a+b)^2}=frac{ab}{(a+b)^2}

......................................................................................

Вас заинтересует