Ответы
Ответ дал:
0
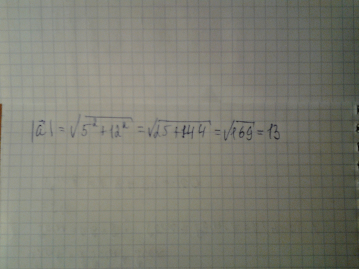
Применена формула длины вектора через его координаты
Приложения:

Ответ дал:
0
Благодарю
Ответ дал:
0
Пожалуйста
Вас заинтересует
2 года назад
2 года назад
7 лет назад
7 лет назад
10 лет назад
10 лет назад
10 лет назад
10 лет назад