• Предмет: Алгебра
  • Автор: AlisaGoll
  • Вопрос задан 10 лет назад

С Р О Ч Н О!!!

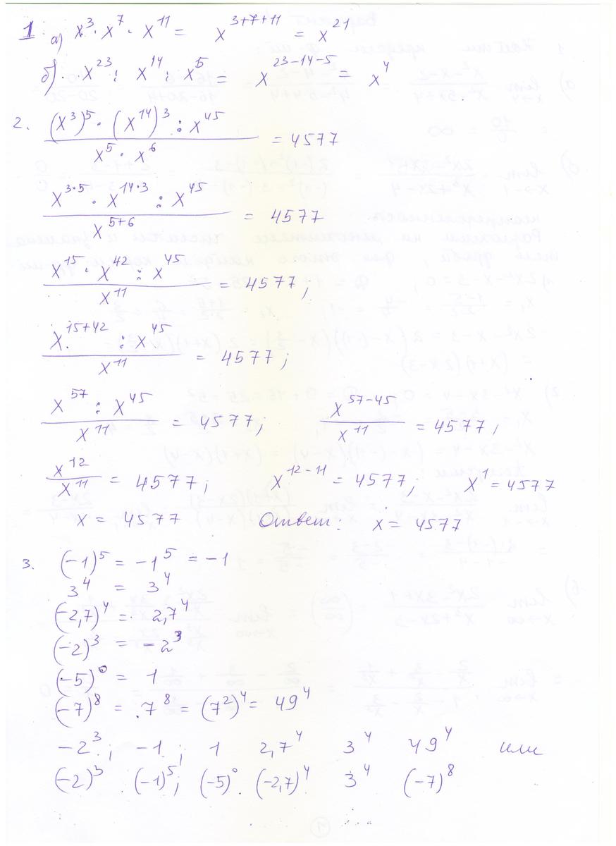
1.Представьте в виде степени:
А) х3 * х7 * х11
Б) х23 : х14 : х5
2. Решите уравнение:
(х3)5 * (х14)3 : х45
________________ = 4577
х5 * х6

3. Не выполняя вычислений, расположите числа в порядке возрастания:
(-1)5; 3 в 4; (-2,7)4; (-2)3; (-5)0; (-7)8


СРОЧНО!!!

Ответы

Ответ дал: alfabetta
0
смотри приложенный файл
Приложения:
Ответ дал: AlisaGoll
0
Спасибо большое за помощь!
Вас заинтересует