Ответы
Ответ дал:
0
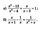
1) Приводим к общ. знаменателю и сокращаем их
Одз х не равен 2; -2
х^2-12+х^2+2х=х^2-4
х^2+2х-8=0
По т. Виета
х= -4
х= 2, не принадл. Одз
Ответ: -4
2)Приводим к общ. знам. и сокр. их.
Одз: х не равен -1; 0
х^2-х-1=1
х^2-х-2=0
х= -1, не прин. Одз
х=2
Ответ: 3
Одз х не равен 2; -2
х^2-12+х^2+2х=х^2-4
х^2+2х-8=0
По т. Виета
х= -4
х= 2, не принадл. Одз
Ответ: -4
2)Приводим к общ. знам. и сокр. их.
Одз: х не равен -1; 0
х^2-х-1=1
х^2-х-2=0
х= -1, не прин. Одз
х=2
Ответ: 3
Вас заинтересует
2 года назад
2 года назад
8 лет назад
10 лет назад
10 лет назад