Ответы
Ответ дал:
0
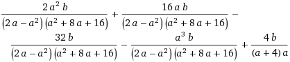
Щас распишу, ответ в картинках. 1 картинка) Твой пример, если я понял как он выгладит, 2 картинка) Решение, 3 картинка) ОТВЕТ
Приложения:



Вас заинтересует
2 года назад
2 года назад
7 лет назад
10 лет назад
10 лет назад