Ответы
Ответ дал:
0
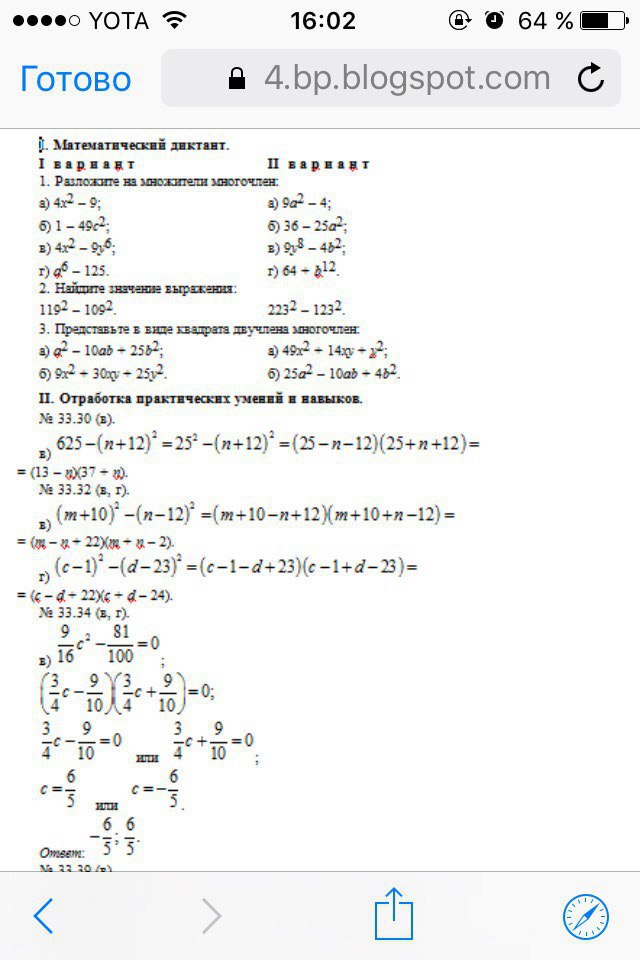
I Вариант.
№1
а)
б)
в)
Извините г не увидел
г)
№2

№3
а)
б)
№1
а)
б)
в)
Извините г не увидел
г)
№2
№3
а)
б)
Вас заинтересует
2 года назад
2 года назад
8 лет назад
8 лет назад
10 лет назад
10 лет назад