• Предмет: Алгебра
  • Автор: rkrykov
  • Вопрос задан 10 лет назад

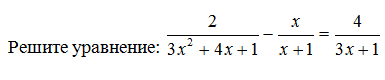
См. фото, помогите, пожалуйста

Приложения:

Ответы

Ответ дал: br8in8f8ck
0
12345678900098776543
Приложения:
Ответ дал: rkrykov
0
Спасибо большое
Вас заинтересует