• Предмет: Геометрия
  • Автор: 87051942714
  • Вопрос задан 10 лет назад

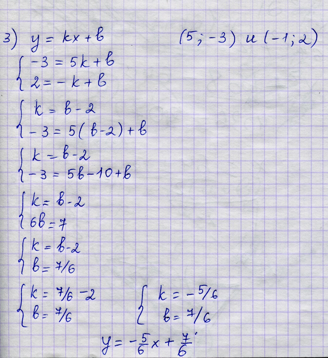
составьте уравнение прямой,проходящей через две точки с координатами :(2;3) и (3;2);(4;-1) и (-6;2)..(5;-3) и (-1;2)

Ответы

Ответ дал: 01YES
0
решение на прикрепленном изображении
Приложения:
Вас заинтересует