Ответы
Ответ дал:
0
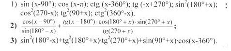
/////////////////////
Приложения:

Ответ дал:
0
Спасибо огромное! :З
Вас заинтересует
2 года назад
2 года назад
7 лет назад
7 лет назад
10 лет назад
10 лет назад
10 лет назад