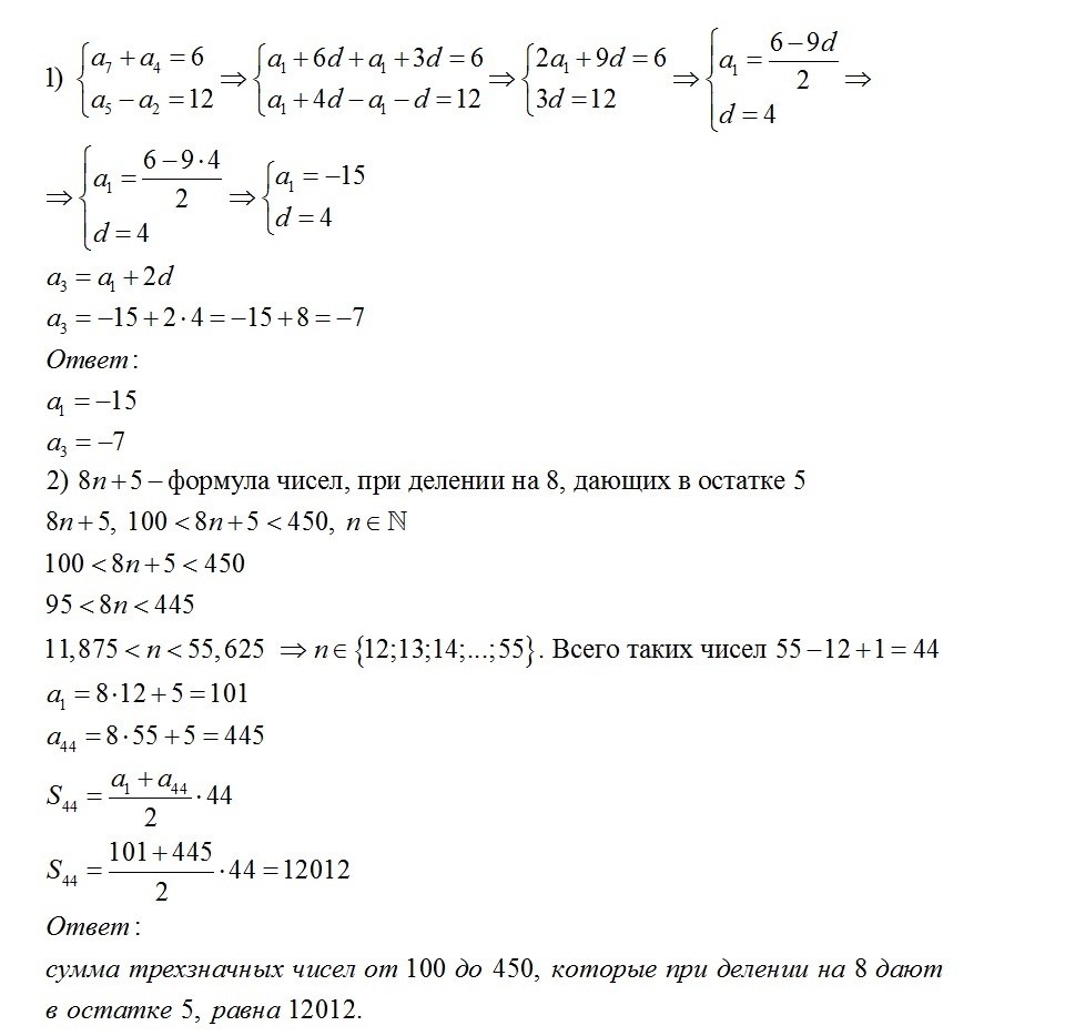
1, Сумма седьмого и четвертого членов арифметической прогрессии равна 6. Пятый ее член на 12 больше второго. Найдите первый и третий члены этой прогрессии. 2. Найдите сумму всех трехзначных чисел от 100 до 450, которые при делении на 8 дают в остатке 5,
Ответы
Ответ дал:
0
Решение на прилагаемом изображении
Приложения:

Вас заинтересует
2 года назад
2 года назад
8 лет назад
8 лет назад
10 лет назад
10 лет назад