Ответы
Ответ дал:
0
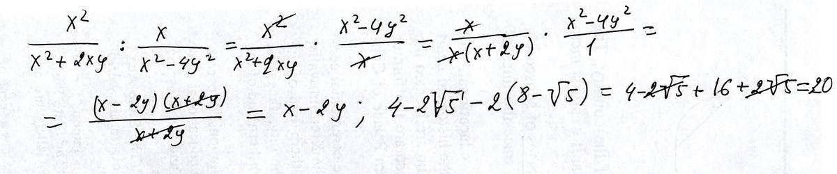
Как просили на листочке... ))))
Приложения:

Ответ дал:
0
а x2+2xy это разве не формула или нет?
Ответ дал:
0
просто ответ должен получиться 5
Ответ дал:
0
ой нет -12
Ответ дал:
0
В конце должно быть -12, тогда ответ -12
Ответ дал:
0
Заместо +16
Вас заинтересует
2 года назад
2 года назад
10 лет назад
10 лет назад
10 лет назад