• Предмет: Алгебра
  • Автор: VadimAganim
  • Вопрос задан 10 лет назад

Желательно, с решением.
Заранее спасибо!

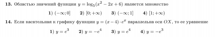
Приложения:

Ответы

Ответ дал: Lesben
0
Y´= -7/6 .(-6).xˇ-7 + 5.4.xˇ3=7.xˇ-7 +20.xˇ3
Y´= 3 - 5.cos x, Y´(0)= 3 - 5.cos 0 = 3- 5.1=-2
Вас заинтересует