• Предмет: Алгебра
  • Автор: Александровна98
  • Вопрос задан 10 лет назад

Ребят, решите пожалуйста!!!
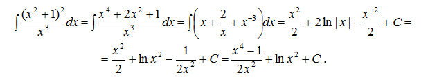
 intlimits {(x^2 + 1)^2)/x^3} , dx

Ответы

Ответ дал: anasteisha575940
0
о боже!! что это вообще такое???
Ответ дал: SergFlint
0
В условии лишняя правая скобка. А решение во вложенном файле!
Приложения:
Вас заинтересует