• Предмет: Математика
  • Автор: максик222222222
  • Вопрос задан 10 лет назад

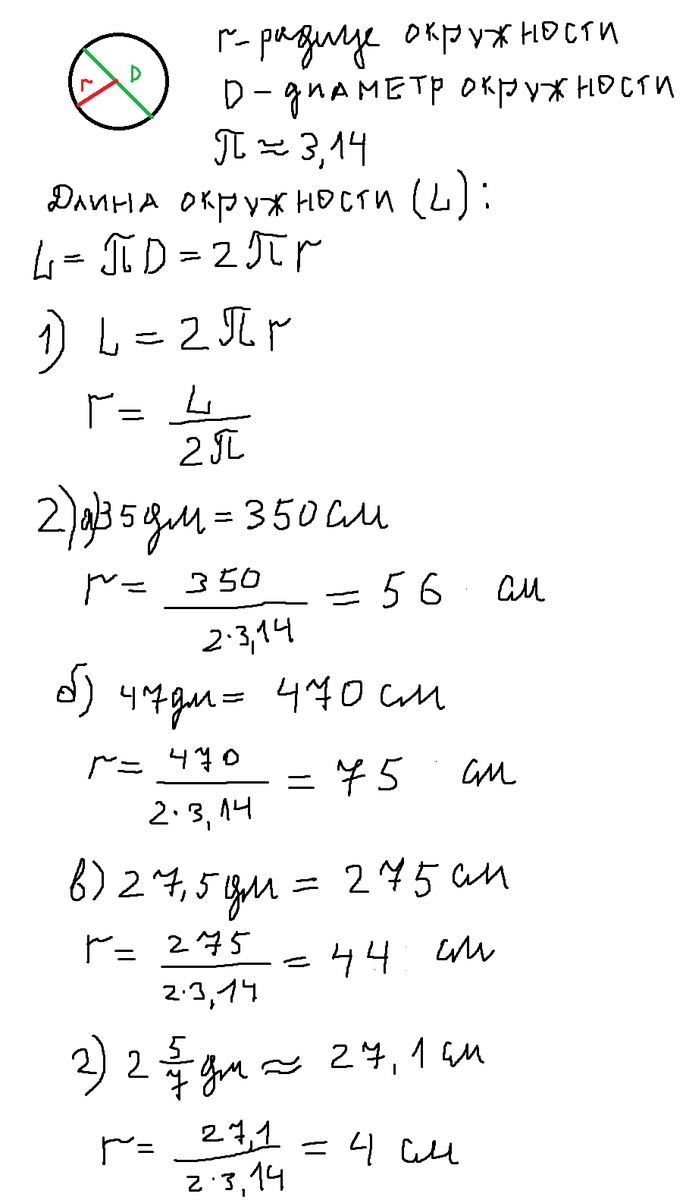
1)Выразите радиус  из формулы длины окружности.2)Вычислите радиус окружности с точностью до сантиметров,если длина окружности равна:а)35дм.б)47дм.в)27.5дм.г) 2целых 5/7 дм.прошу васссспрошууу

Ответы

Ответ дал: kristina00
0
решение на фото))))))))))
Приложения:
Вас заинтересует