Ответы
Ответ дал:
0
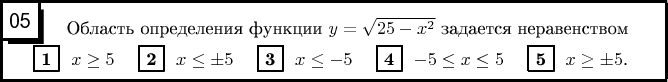
Подкоренное выражение не может быть отрицательным. Запишем это условие:
![25-x^2geq0\x^2-25 leq 0\(x-5)(x+5) leq 0\xin [-5;5] 25-x^2geq0\x^2-25 leq 0\(x-5)(x+5) leq 0\xin [-5;5]](https://tex.z-dn.net/?f=25-x%5E2geq0%5Cx%5E2-25+leq+0%5C%28x-5%29%28x%2B5%29+leq+0%5Cxin+%5B-5%3B5%5D)
Ответ: 4.
Ответ: 4.
Вас заинтересует
8 лет назад
10 лет назад
10 лет назад