• Предмет: Математика
  • Автор: Sofiyshka
  • Вопрос задан 10 лет назад

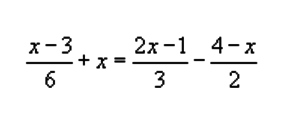
Помогите решить
    $$ frac{x-3}{6} $$+ x = $$ frac{2x-1}{3} $$ - $$ frac{4-x}{2} $$

Приложения:

Ответы

Ответ дал: tatyanazubkova
0
Умножим  почленно обе части уравнения на 6:
х-3+6х=2(2х-1)-3(4-х)
х-3+6х=4х-2-12+3х
х+6х-4х-3х=-2-12+3
0х=-11
корней нет
Вас заинтересует