• Предмет: Математика
  • Автор: FruityDoodie
  • Вопрос задан 10 лет назад

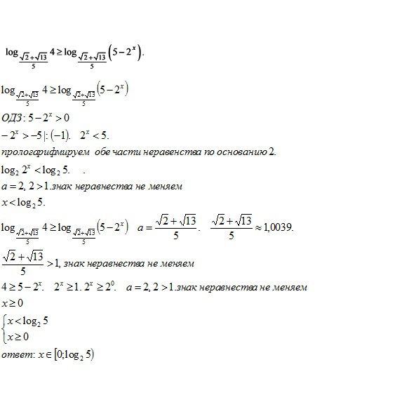
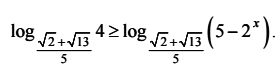
Решите неравенство. Скриншот во вложении.

Приложения:

Ответы

Ответ дал: ВладимирБ
0
Решение смотри в приложении
Приложения:
Ответ дал: kirichekov
0
решение во вложении--------------------------
Приложения:
Вас заинтересует