• Предмет: Алгебра
  • Автор: swetapank
  • Вопрос задан 10 лет назад

Пожалуйста, помогите, срочно надо, как это решить?

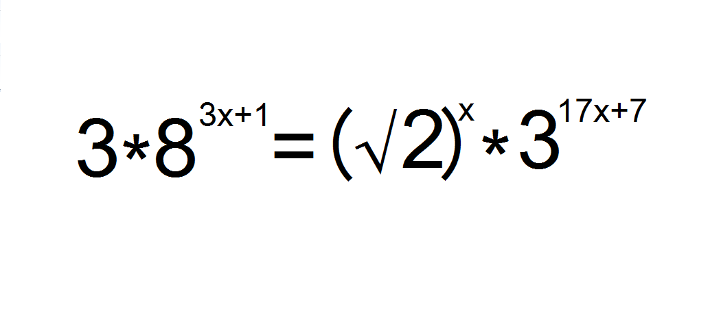
3*8^(3x+1)=(sqrt 2)^x*3^(17x+7)

Приложения:

Ответа на этот вопрос пока нет. Попробуйте найти его через форму поиска.

Вас заинтересует