• Предмет: Математика
  • Автор: АлександраСашко
  • Вопрос задан 10 лет назад

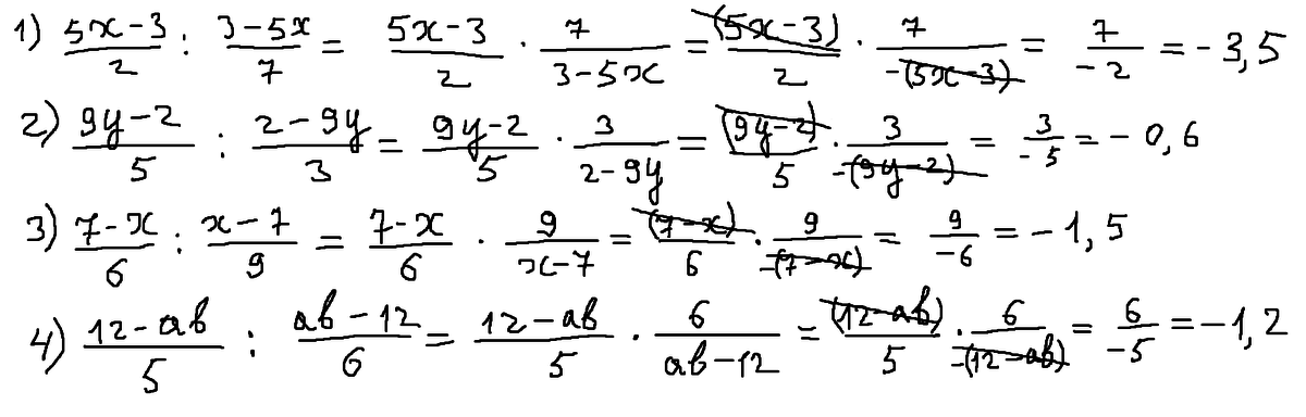
Выполните деление Спасибо заранее

Приложения:

Ответы

Ответ дал: kristina00
0
решение на фото))))))))))))
Приложения:
Вас заинтересует