• Предмет: Математика
  • Автор: АлександраСашко
  • Вопрос задан 10 лет назад

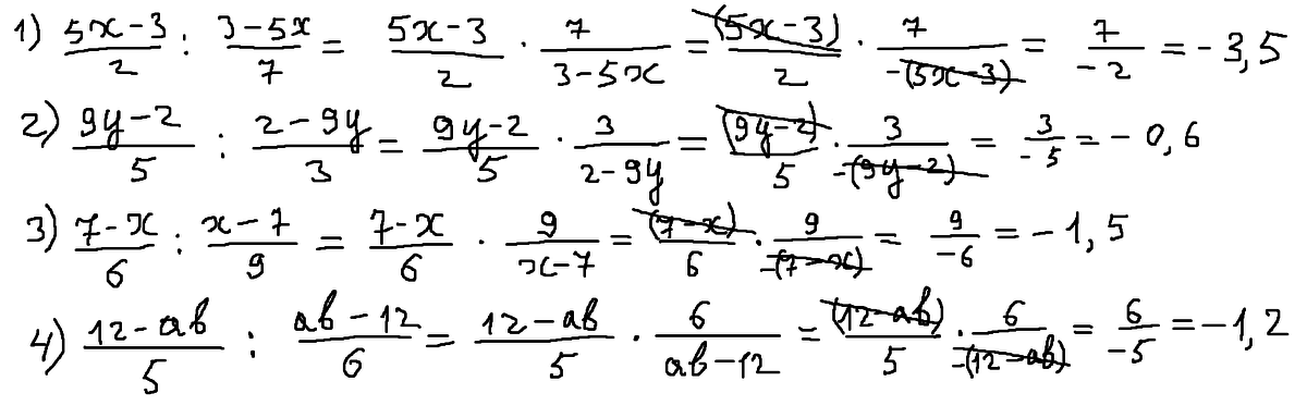
Выполните деление Спасибо заранее

Приложения:

Ответы

Ответ дал: kristina00
0
решение на фото)))))))
Приложения:
Ответ дал: АлександраСашко
0
можешь ещё решить пример
Ответ дал: kristina00
0
какой?
Вас заинтересует