• Предмет: Алгебра
  • Автор: Аноним
  • Вопрос задан 11 лет назад

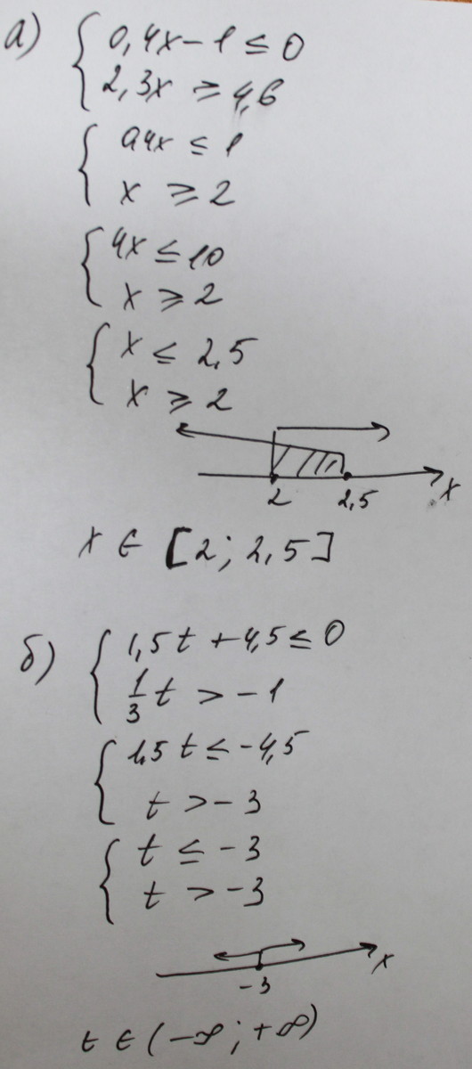
Решите систему уравнений: а){0,4х-1≤0        б){1,5t+4,5≤0  

                                                                                         1/3t>-1

                                                           2,3х≥4,6                        

 

 

/-дробная черта.

 

Ответы

Ответ дал: Рыжулия
0

но насчет второй системы я не уверена, но вроде так должно быть

Приложения:
Вас заинтересует